文博思齐教育

  • 2025国考咸阳兴平招多少人?

    2025国考咸阳兴平招多少人?

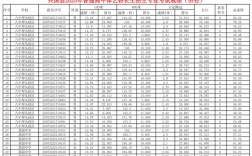
    2016年国家公务员考试咸阳兴平地区的招录情况备受当地考生关注,作为陕西省重要的县级市,兴平的岗位涵盖多个系统,为不同专业背景的考生提供了多样化选择,根据当年招录公告,兴平地区涉及国税、统计、市场监管等部门的岗位,招录人数共计XX人(注:实...

    2026-02-18
    4 0 0
  • 1 / 1
  • 1