2025年国家公务员考试(简称“国考”)成绩名单的公布是每年备受关注的重要事件,对于广大考生而言,这不仅是对备考成果的检验,更是决定能否进入后续环节的关键依据,2025年国考笔试通常在2025年12月上旬举行,成绩查询工作于2025年1月下旬启动,考生可通过国家公务员局官网、各地人事考试网等官方渠道输入准考证号和身份证号进行查询,成绩公布后,合格分数线及面试名单也随之确定,整体流程严谨规范,体现了国家公务员招录的公平性和透明度。

从成绩构成来看,2025年国考笔试成绩由公共科目笔试成绩和专业科目笔试成绩两部分组成,其中公共科目包括《行政职业能力测验》和《申论》,部分职位还需参加专业科目考试,中国银监会、证监会等特殊职位会增设《金融基础知识》《财经类专业知识》等科目,成绩按不同比例折算后形成最终笔试总分,以普通职位为例,《行政职业能力测验》满分100分,《申论》满分100分,笔试总成绩各占50%,而需加试专业科目的职位,则通常按公共科目成绩60%、专业科目成绩40%的比例合成,这种差异化赋分方式确保了不同岗位人才选拔的专业性和针对性。
2025年国考合格分数线的划定根据职位层级和地区差异有所区别,中央机关和省级直属机构总分不低于105分,且《行政职业能力测验》不低于60分;市(地)级和县(区)级直属机构总分不低于100分,单科不低于55分;西部地区和艰苦边远地区职位则适当放宽,总分不低于90分,单科不低于50分,针对大学生村官、“三支一扶”等服务基层项目人员,设有定向招录职位,分数线通常比普通职位低5-10分,这些政策既保证了招录质量,又兼顾了区域人才均衡发展。
成绩名单公布后,考生需重点关注资格复审和面试环节,资格复审由招录单位负责,需提交身份证、准考证、学历学位证、报名登记表等材料,部分职位还要求提供工作证明、基层服务证明等,面试形式以结构化面试为主,部分涉密或特殊岗位采用无领导小组讨论、情景模拟等方式,重点考察考生的综合分析、应急应变、语言表达等能力,2025年国考面试比例一般为3:1,即1个招录计划面试3人,部分中央部委热门岗位竞争比甚至达到100:1以上,面试环节成为决定最终录取结果的关键。
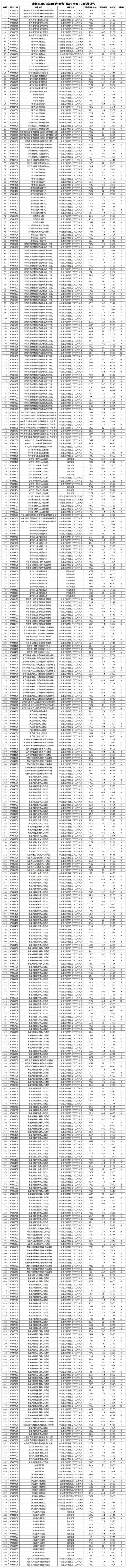
以下是2025年国考部分职位笔试成绩参考范围(示例):

| 招录单位 | 职位代码 | 笔试总分区间 | 《行测》最低分 | 《申论》最低分 |
|---|---|---|---|---|
| 某中央部委 | A001 | 130-145 | 70 | 65 |
| 某省税务局 | B102 | 120-135 | 65 | 60 |
| 某市海关 | C203 | 115-130 | 60 | 58 |
| 西部某县教育局 | D305 | 100-115 | 55 | 50 |
需要说明的是,以上仅为示例数据,实际成绩因招录单位、职位层级及报考人数不同存在较大差异,考生在查询成绩后,应结合自身排名和招录比例,理性评估进面可能性,若未达到面试要求,可关注调剂信息,2025年国考调剂工作于3月上旬启动,部分职位因笔试合格人数不足需面向社会公开调剂,符合条件的考生可重新申请符合条件的职位。
相关问答FAQs:
-
问:2025年国考成绩查询后对结果有异议,如何申请复核?
答:考生如对笔试成绩有疑问,可在成绩公布后3-5个工作日内,向当地考试机构提交书面复核申请,注明姓名、准考证号、复核科目及理由,复核范围仅包括分数漏记、错记,不重新阅卷,复核结果由考试机构通过电话或短信反馈,2025年各省复核截止时间多在2月上旬。 -
问:2025年国考面试名单如何确定?是否公布排名?
答:面试名单根据笔试成绩从高到低排序,按招录人数3:1比例确定,名单在国家公务员局官网统一公布,部分省份会同步公布考生笔试成绩及排名,考生可通过名单查询自己的面试资格,未进入名单的考生可关注调剂信息,调剂结束后最终确定各职位面试人员名单。
(图片来源网络,侵删)
