2025年北京理工大学考博英语考试作为国内高校博士生入学选拔的重要环节,其命题特点、考察重点及备考策略一直是广大考生关注的焦点,该考试旨在全面评估考生的英语语言运用能力,特别是学术语境下的阅读理解、书面表达、翻译及综合运用能力,以选拔具备优秀科研潜力和国际交流能力的博士生。

从整体结构来看,2025年北理考博英语试卷主要包括四个部分:词汇与语法结构、阅读理解、翻译(英译汉)以及写作,各部分分值占比和题型设置充分体现了对学术英语能力的侧重,词汇与语法部分不仅考察考生对基础词汇的掌握,更注重其在学术语境中的灵活运用,包括近义词辨析、固定搭配及复杂句式结构分析,试题中可能出现涉及科技论文常用词汇的辨析题,或要求考生判断包含多重从句的复合句语法是否正确,这一部分要求考生不仅具备扎实的语言基础,还需熟悉学术文本的常见表达特征。
阅读理解部分是考试的核心,通常包含3-4篇学术性文章,内容涵盖工程、科技、社会科学等多个领域,每篇文章后附有选择题或简答题,文章选材多来源于国际知名期刊或学术报告,具有信息量大、逻辑性强、专业术语多的特点,题目设计不仅考察考生对主旨大意、细节信息、推理判断及作者观点态度的把握,还可能要求考生根据上下文推测生词含义或理解长难句的深层含义,一篇关于人工智能发展的文章可能会涉及算法优化、伦理争议等专业话题,考生需快速定位关键信息并准确理解复杂论证过程,部分题目可能要求考生比较不同文章的观点或分析作者的写作意图,这对考生的批判性思维能力提出了较高要求。
翻译部分通常要求考生将一段200-300词的英文学术文本翻译成中文,内容多涉及北理优势学科(如机械工程、材料科学、信息技术等)的前沿研究成果或热点问题,翻译题不仅考察考生的语言转换能力,更注重专业术语的准确性和学术表达的严谨性,在翻译一段关于纳米材料性能的文本时,考生需确保“nanoparticles”“thermal stability”等术语的规范使用,同时注意英汉语言差异,如被动语态的转换、长句的拆分与重组等,译文需符合中文科技文献的表达习惯,避免直译导致的生硬晦涩,做到“信、达、雅”的统一。
写作部分一般要求考生根据给定的学术话题或图表材料,撰写一篇200-300词的短文,形式包括议论文、研究报告摘要或文献综述等,2025年的写作题目可能要求考生探讨“科研诚信的重要性”或分析某项技术发展的利弊,写作题重点考察考生的逻辑组织能力、学术规范意识及语言表达的准确性与多样性,考生需做到论点明确、论据充分、结构清晰,同时注意使用学术写作的常用句型(如It is widely acknowledged that.../This essay aims to...等)和连接词(如however, furthermore, consequently等),避免口语化表达,还需注意格式规范,如标题居中、段落首行缩进等细节。

针对2025年北理考博英语的备考,考生需制定系统性的复习计划,词汇积累应兼顾通用学术词汇与专业术语,可通过背诵《学术词汇表》(AWL)及阅读目标学科领域的英文文献来实现,语法复习需重点突破非谓语动词、虚拟语气、复杂从句等难点,并通过长难句分析训练提升阅读效率,阅读理解方面,建议考生每天精读1-2篇学术文章,练习快速定位信息、归纳主旨及推理判断,同时积累话题相关词汇与表达,翻译训练可从北理相关学科的中英文论文摘要入手,对比分析中英表达差异,提升术语准确性和译文流畅性,写作方面,需多模仿优秀范文的结构与句式,练习针对不同话题快速构思框架,并定期进行限时写作训练,提升语言表达的准确性与速度。
以下是针对2025年北理考博英语备考的常见问题解答:
FAQs
-
问:北理考博英语的词汇量要求大概是多少?需要重点背诵哪些词汇?
答:北理考博英语的词汇量要求约在6000-8000词左右,其中学术词汇(如AWL中的570词核心词)和目标学科的专业术语是重点,建议考生以《研究生英语教学大纲》词汇表为基础,补充阅读Nature、Science等期刊中高频出现的学术词汇,并重点关注北理优势学科(如机械、材料、信息等)的术语手册,可通过词根词缀法记忆派生词(如“analyze”“analysis”“analytical”),提升词汇扩展能力。
(图片来源网络,侵删) -
问:如何在短时间内提升翻译部分的得分?
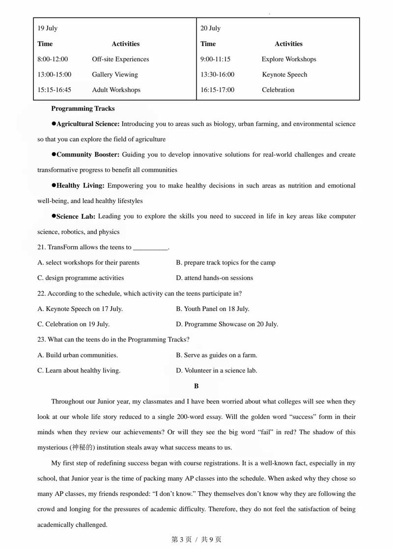
答:短期内提升翻译得分需掌握“技巧+实践”相结合的方法,积累常见学术句型的翻译模板,如被动语态(“It is believed that...”译为“人们认为...”)、定语从句(拆分为短句或前置定语)等,针对北理常考学科领域,整理术语对照表(如“finite element analysis”译为“有限元分析”),确保专业术语准确,进行限时翻译练习,每天翻译1-2段学术文本,完成后对照参考译文分析差异,重点调整语序、补充逻辑连接词,提升译文的流畅性与学术性,注意避免“翻译腔”,确保中文表达符合科技文献的规范。
