2025年考博录取名单是高校研究生招生工作的重要成果,体现了各学科领域优秀人才的选拔结果,根据多所高校官方公布的信息,2025年考博录取工作遵循“公平、公正、公开”原则,通过初试、复试、资格审查等环节,最终确定录取名单,以下从整体情况、学科分布、录取特点及注意事项等方面进行说明。

从整体来看,2025年全国各高校博士研究生录取人数较往年有所增长,重点高校录取规模保持在稳定水平,以部分“双一流”建设高校为例,清华大学2025年录取博士研究生约3000人,其中普通招考占比约60%,硕博连读和直接攻博占比40%;北京大学录取博士研究生约2500人,涵盖人文、社科、理学、工学、医学等12个学科门类,录取考生中,应届硕士毕业生占比超过50%,具有科研工作经历的社会考生比例约为30%,其余为高校青年教师或科研机构人员。
在学科分布上,工学、理学、医学等传统优势学科录取人数较多,如浙江大学工学类录取博士占全校总录取人数的35%,复旦大学医学类占比达30%,新兴交叉学科如人工智能、大数据、生物医药等也成为招生热点,部分高校新增“数据科学与大数据技术”“生物医学工程”等博士招生方向,录取人数较2025年增长20%以上,部分高校注重基础学科人才培养,北京大学数学、物理等基础学科录取率保持在10%左右,并给予相应的科研津贴支持。
录取特点方面,2025年考博呈现以下趋势:一是科研能力成为核心评价指标,多数高校在复试中增加科研成果展示环节,要求考生提交学术论文、专利或科研项目报告,其中发表SCI/SSCI论文的考生占比达65%;二是“申请-考核制”全面推行,全国约90%的高校采用此模式,通过材料初审、专家面试、学术评议等环节综合选拔,弱化初试分数权重;三是专项计划力度加大,“少数民族高层次骨干人才计划”“高校思想政治工作骨干在职攻读博士学位专项计划”等录取人数同比增长15%,重点向中西部高校和艰苦专业倾斜。
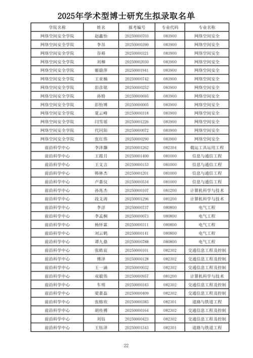
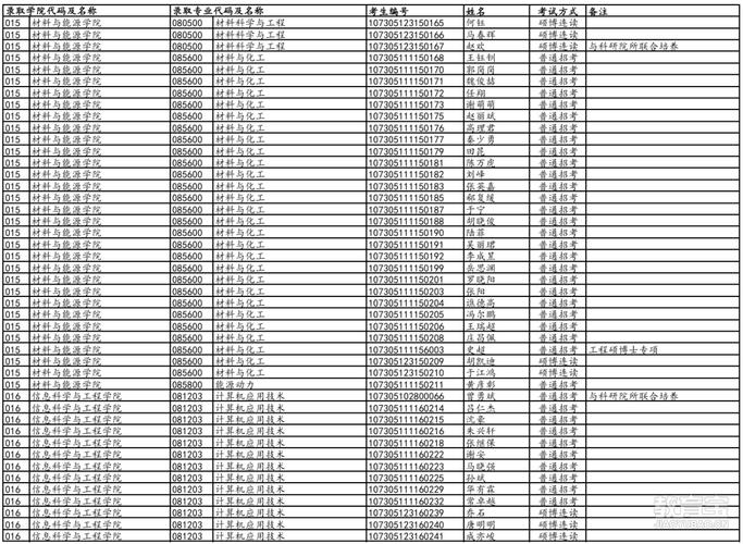
注意事项上,考生需通过高校研究生院官网查询具体录取名单,部分高校会公示录取考生的姓名、准考证号、录取专业及导师信息,如需了解详细录取数据,可参考各高校《2025年博士学位研究生招生简章》及拟录取名单公示文件,录取考生需按要求在规定时间内办理入学手续,提交学历学位证书原件、体检报告等材料,逾期未报到者将取消录取资格。

相关问答FAQs
-
问:2025年考博录取名单中,专项计划的录取分数线是否低于普通计划?
答:专项计划的录取分数线通常低于普通计划,但具体差异因高校和专业而异。“少数民族骨干计划”考生初试总分要求可普通计划考生低10-30分,但复试阶段需通过额外的汉语水平测试或专业能力考核,部分高校对专项计划考生设定单科线,如英语成绩不低于50分(满分100分),具体政策以各高校当年招生简章为准。 -
问:如何核实2025年考博录取名单的真实性?
答:考生可通过以下途径核实名单真实性:一是登录目标高校研究生院官网“招生信息公开”栏目查询官方公示文件,二是拨打高校研究生招生办公室电话进行咨询(如北京大学研招办电话010-62751254,清华大学电话010-62782192),三是通过“学信网”录取学籍查询功能,输入本人身份证号和姓名核实录取状态,非官方渠道公布的名单需谨慎核实,避免受虚假信息误导。
