广西医科大学考研调剂是每年硕士研究生招生过程中备受关注的重要环节,对于初试成绩达到国家线但未一志愿录取或希望进入广西医科大学的考生而言,调剂是重要的升学途径,广西医科大学作为广西壮族自治区重点建设的高等医学院校,拥有优质的医学教育资源,其调剂竞争通常较为激烈,考生需提前了解调剂政策、流程及要求,做好充分准备。

广西医科大学考研调剂的基本要求包括考生初试成绩需达到报考专业或调剂专业所在学科门类的全国初试成绩基本分数线,且符合广西医科大学招生简章中规定的报考条件,调剂专业与一志愿专业相同或相近,初试科目应与调剂专业初试科目相同,其中统考科目原则上应相同,业务课科目相近,部分专业可能对考生本科专业背景、英语水平(如四六级成绩)或科研经历有特定要求,例如临床医学类专业通常要求本科为临床医学专业,且具有医师资格证书者优先。
调剂流程方面,考生需密切关注“中国研究生招生信息网”(研招网)调剂服务系统及广西医科大学研究生院官网发布的调剂公告,调剂系统开放后,考生需在规定时间内登录系统填报调剂志愿,每人可同时填报三个平行调剂志愿,广西医科大学会对调剂考生进行资格审核,审核通过后,部分专业会组织复试,复试形式通常包括专业课笔试、综合面试(含英语听说能力测试)及临床技能考核(针对临床医学类专业),复试成绩是录取的重要依据,综合复试成绩和初试成绩按一定比例折算为最终录取成绩,择优录取,需要注意的是,调剂系统每次开放时间可能较短,考生需提前准备好个人简历、本科成绩单、获奖证书等材料,确保在系统开放后能快速完成填报。
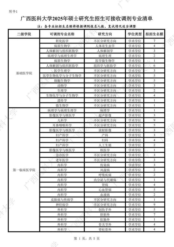
广西医科大学部分优势学科领域调剂竞争较为激烈,例如内科学、外科学、肿瘤学、儿科学、神经病学等临床医学类专业,以及基础医学中的病理学与病理生理学、人体解剖与组织胚胎学等专业,这些专业通常因师资力量雄厚、科研平台优越、就业前景良好而吸引了大量调剂考生,相比之下,部分交叉学科或新兴学科,如医学技术、生物医学工程、公共卫生与预防医学中的部分方向,调剂压力相对较小,但考生仍需关注其具体的调剂要求和招生计划,以下为广西医科大学部分热门专业调剂情况概览:
| 专业类别 | 主要调剂方向 | 调剂竞争程度 | 复试重点内容 |
|---|---|---|---|
| 临床医学类 | 内科学、外科学、肿瘤学 | 高 | 专业课知识、临床案例分析、英语口语 |
| 基础医学类 | 病理学与病理生理学、免疫学 | 中 | 基础理论、实验技能、科研潜力 |
| 公共卫生类 | 流行病与卫生统计学、营养与食品卫生 | 中低 | 专业综合知识、数据分析能力 |
| 医学技术类 | 医学影像技术、检验医学 | 中低 | 专业知识操作、仪器使用能力 |
考生在准备调剂时,应重点提升专业课复习深度,尤其是调剂专业的核心课程,同时加强英语听说能力的训练,针对临床类专业需熟悉常见疾病的诊疗流程和临床思维,提前联系广西医科大学的导师或招生办,了解导师研究方向及课题组需求,有助于增加调剂成功率,在填报调剂志愿时,可根据自身初试成绩、专业背景合理选择志愿,避免盲目填报热门专业而导致落选。

相关问答FAQs:
-
问:广西医科大学考研调剂对一志愿专业有严格要求吗?
答:广西医科大学调剂要求一志愿专业与调剂专业相同或相近,原则上统考科目(如政治、英语、数学)应相同,业务课科目需相近,一志愿报考临床医学的考生可调剂至内科学、外科学等专业,但若报考基础医学,调剂至临床医学类专业时可能需额外考核临床相关知识,具体要求以当年调剂公告为准。 -
问:调剂复试中的临床技能考核主要包含哪些内容?
答:临床技能考核主要针对临床医学、口腔医学等专业,内容通常包括体格检查(如心肺听诊、腹部触诊)、基本临床操作(如穿刺、缝合模型操作)、病历书写规范及临床病例分析能力考核,考生需熟练掌握临床基本技能,并具备良好的医患沟通思维,考核注重理论与实践结合能力。

