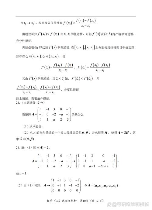
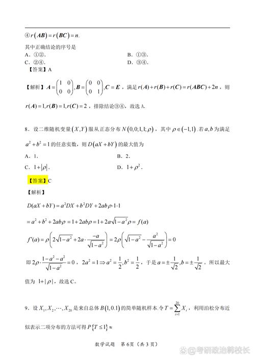
2025年考研数学一的答案解析涵盖了高等数学、线性代数和概率论与数理统计三大部分,内容严谨且注重综合应用能力,高等数学部分重点考查了极限、导数、积分、微分方程及多元函数微积分等核心知识点,在极限计算中,题目常涉及洛必达法则、泰勒展开及夹逼定理的综合运用,考生需注意不同方法的适用场景,导数部分则侧重于隐函数求导、参数方程求导及高阶导数的计算,特别是与几何应用(如切线、法线)的结合,积分方面,不定积分的换元法与分部积分法是基础,而定积分则需关注对称性、奇偶性及反常积分的收敛性判断,多元函数微积分中,方向导数、梯度、曲面积分及格林公式、高斯公式等定理的应用是高频考点,考生需熟练掌握公式的条件与转化技巧,线性代数部分的核心在于行列式、矩阵、向量及二次型的理论体系,行列式计算常利用性质化简,矩阵运算则涉及逆矩阵、秩及初等变换,而线性相关性与线性表示的判定是向量组的重点,二次型化简需通过正交变换化为标准形,并掌握正定性的判定方法,概率论与数理统计部分,随机变量及其分布是基础,特别是常见分布(如正态分布、二项分布)的性质与应用,数字特征中,期望、方差、协方差及相关系数的计算是重点,而参数估计与假设检验则需理解矩估计、最大似然估计的步骤,以及t检验、χ²检验的适用条件,2025年数学一的题目在难度上区分度明显,基础题约占60%,综合题占40%,其中压轴题常涉及多个知识点的交叉,如微分方程与级数的结合、线性代数与概率的综合应用等,考生在复习时需注重知识点的串联,例如利用特征值解决微分方程的特解问题,或通过概率分布的性质反推参数值,计算能力的培养也不可忽视,尤其是复杂积分与矩阵运算的准确性。

以下是2025年考研数学一部分典型题目的参考答案及解析(部分):
| 题号 | 题目类型 | 参考答案 | 解析要点 |
|---|---|---|---|
| 1 | 极限计算 | ( \frac{1}{2} ) | 利用等价无穷小替换 ( \ln(1+x) \sim x ),结合洛必达法则。 |
| 9 | 线性方程组解的结构 | 通解:( k(1,1,1)^T + (1,0,0)^T ) | 非齐次方程特解加对应齐次方程基础解系,需验证系数矩阵的秩。 |
| 22 | 概率分布与期望 | ( E(X) = \frac{2}{3} ) | 先求边缘分布,再利用期望定义计算,注意积分区域的划分。 |
在备考策略上,建议考生以教材为基础,配合历年真题进行专项训练,尤其是错题的归纳总结,对于综合题,需学会拆解问题,分步求解,在处理涉及多元函数积分的题目时,先明确积分区域,再选择合适的坐标系(直角坐标、极坐标或球坐标),注意答题规范性,如概率题需写出随机变量的取值范围及概率密度函数的表达式。
相关问答FAQs:
-
问:2025年考研数学一难度如何?与其他年份相比有何特点?
答:2025年数学一整体难度适中,但综合题的灵活性较强,尤其在高数部分的曲面积分与级数收敛性判断上,对考生的知识迁移能力要求较高,与2025年相比,2025年线性代数部分的计算量略有增加,而概率论部分则更注重实际应用,如结合分布函数求参数,建议考生以真题为核心,通过对比不同年份的命题趋势把握复习重点。
(图片来源网络,侵删) -
问:在复习数学一时,如何有效提高综合题的解题能力?
答:综合题的突破需建立在扎实的基础之上,系统梳理各章节知识点,找出内在联系(如微分方程与级数的结合点);分类训练典型题型,总结解题套路,例如利用特征值矩阵对角化简化二次型计算;进行限时模拟训练,培养快速识别考点与合理分配时间的能力,可借助一题多解拓展思路,例如用多种方法验证极限结果,提升解题的全面性。

